Practice Page
Directions: Solve using sum, difference, double and half angle formuals. Unless otherwise stated, an exact answer is expected.

1.
formula72

 

 

2.
formula48

 

 

3.
formula49

 

 

4.
formula50
 

 

 

5.
formula51

 

 

6.
Find the exact value of cos105º.

 

 

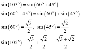
7.
Is the following problem solved correctly?
If not, correct the error(s).
Find sin(105º).

Solution(?):
formula53

 

 

8.
formula54

 


divider

NOTE: The re-posting of materials (in part or whole) from this site to the Internet is copyright violation
and is not considered "fair use" for educators. Please read the "Terms of Use".