|
Directions: Solve the following problems using your knowledge of cofunctions. Choose the best answers.
5. |
Find the function value of cot 60º. |
|
|
|
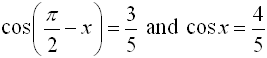
6. |
Given:

find the tan x.
|
|
|
|
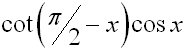
9. |
Simplify:
|
|
|
|
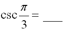
10. |
Simplify:
 |
|
|
|
14. |
If sin(x + 20) = cos (2x + 10), find x. |
|
|
|
15. |
If tan(4x + 40) = cot (2x - 10), find x. |
|
|
|

NOTE: The re-posting of materials (in part or whole) from this site to the Internet
is copyright violation
and is not considered "fair use" for educators. Please read the "Terms of Use". |
|