|
Directions: Read carefully.
1. |
Which of the following function formulas describes this sequence?
{4, 8, 16, 32, 64, ...}
Choose:
|
 |
|
2. |
The following diagrams form a sequence based upon the number of toothpicks needed to create the shapes.
b) How many toothpicks are needed to create the 6th diagram in the sequence?
Choose:
|
|
3. |
Which sequence is generated by an = 4n - 3 ?
Choose:
|
 |
|
4. |
The sequence shown below is an arithmetic sequence. What is the value of the missing term?
{6, 9,  , 15, 18, ...}
Choose:
|
 |
|
5. |
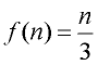
Which of the following sequences can be generated using ?
Choose:
|
|
|
6. |
Which of the following sequences is a geometric sequence?
|
 |
Choose:
|
|
|
|
7. |
What is the common difference in this arithmetic sequence?
{16, 10, 4, -2, -8, ...}
|
|
Choose:
|
|
|
|
8. |
What are the first three terms of this sequence?
an= n2 + 1
Choose:
|
|
|
9. |
What is the tenth term of this sequence?
an= (-1)n-1• n2
|
 |
|
10. |
Find the fourth term of this geometric sequence.
{459, 153, 51, ...}
|
|
|
11. |
What are the first four terms of this sequence?
f (1) = -2; f (n) = f (n - 1) + 4
|
 |
|
12. |
Which function "rule" is at work in the function machine shown at the right?
Choose:
|
|
|

NOTE: The re-posting of materials (in part or whole) from this site to the Internet
is copyright violation
and is not considered "fair use" for educators. Please read the "Terms of Use". |
|