Practice Page
Directions: Read carefully.


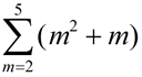
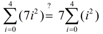
1.
Find the value of: sig11
Choose:
50
53
54
58
sigpic2

 

 

2.
Which of the following represents the sum of the sequence
6, 12, 20, 30 ?

Choose:
sig22a
sigb
sigc
siggd

 

 

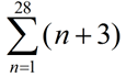
3.
Which choice represents 3 + 6 + 9 + 12 + ...
for 28 terms ?


Choose:
sig33a
sig33b
sig33c
sig33d
sigpic1

 

 

4.
Which choice represents: sig44
Choose:
3 - 6 + 12 - 24 + 48
3 - 6 + 9 - 12 + 15
-3 + 6 - 12 + 24 - 48
-3 + 6 - 9 + 12 - 15
 

 

 

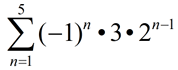
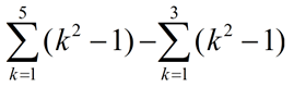
5.
Evaluate: sig55
Choose:
sig55b
sig55a
sig55c
sig55d
sigpic6

 

 

6.
Which choice represents the sum:
7 + 14 + 21 + 28 + ... + 105 ?
 

Choose:
sig77a
sig77b
sig77c
sig77d

 

 

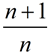
7.
Evaluate:
sigma53

Choose:
15
24
39
47
sigpic4

 

 

8.
Find the third term in the summation:
cuberootsum
  
Choose:
11
22
147.9
443.7

 

 

9.
Are these two summation expressions equal?
facatorsum


Choose:
Yes
No
sigpic8

 

 

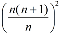
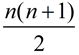
10.
Certain summations can be expressed as a single expression. Which expression is equivalent to the summation sunk ?

Choose:
n1
n2
n3
n4

 

divider

NOTE: The re-posting of materials (in part or whole) from this site to the Internet is copyright violation
and is not considered "fair use" for educators. Please read the "Terms of Use".