|
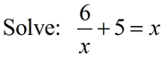
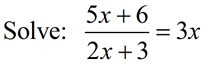
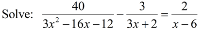
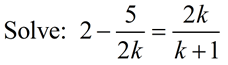
Directions: Grab your paper and pencil. Either provide a check to show your answer is not extraneous, or state the domain of the equation showing which values will not satisfy the equation.
2. |
 |
|
|
7. |
Find the lengths of the two unknown sides represented in terms of x. |
|
|
|
9. |
The sum of twice a positive integer and four times the reciprocal of the integer is 9. Find the integer. |
|
|

NOTE: The re-posting of materials (in part or whole) from this site to the Internet
is copyright violation
and is not considered "fair use" for educators. Please read the "Terms of Use". |
|