|
This section will take a look at adding and subtracting radical expressions including work with variables.
(Assume variables to be positive, real numbers.)
Add/Subtract |
Adding and subtracting radicals: For radicals having the same index and the same values under the radical (the radicands), add (or subtract) the values in front of the radicals and keep the radical. |
|
REMEMBER: Always simplify first! When the radicals in an addition or subtraction problem are different, be sure to check to see if the radicals can be simplified. It may be the case that when the radicals are simplified, they will become "like" radicals, making it possible for them to be added or subtracted. |
|
|
|
ANSWER:  |
|
Since the radicands are the same, add and subtract the coefficients (the numbers in front of the radicals).
|
 |
|
ANSWER:  |
|
Notice that this problem mixes cube roots with a square root.
You cannot combine cube roots with square roots when adding.
They are not "like radicals".
|
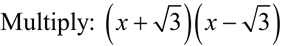
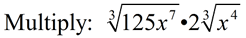
This section will take a look at multiplying radical expressions
including expressions containing variables.
Multiplying |
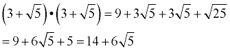
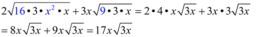
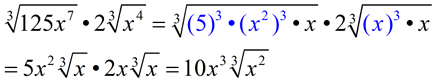
When multiplying radicals (with the same index), multiply under the radicals, and then multiply any values directly in front of the radicals. |
|
|
Product Rule
where a ≥ 0, b≥ 0
"The radical of a product is equal to the product of the radicals of each factor."
|
|
|
|

NOTE: The re-posting of materials (in part or whole) from this site to the Internet
is copyright violation
and is not considered "fair use" for educators. Please read the "Terms of Use". |
|
|