|
Directions: On this page, all variables will be considered positive. Choose the best answers.
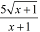
1. |
 |
|
|
|
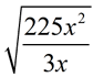
8. |
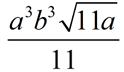
Which of the following expressions are equivalent to ?
(Check all that apply, and hit SUBMIT!) |
|
|
 |

NOTE: The re-posting of materials (in part or whole) from this site to the Internet
is copyright violation
and is not considered "fair use" for educators. Please read the "Terms of Use". |
|