It will be a valuable skill, in Algebra 2 and future math courses, to be able to reduce (or simplify) expressions containing exponents to make them easier with which to deal.
In this lesson, we simplify the expressions, and use exponent "rules"
and mathematical reasons to support each step.
One solution will be shown. More than one solution is possible.
Example1: Working with a multiplication problem.
Simplify:
 |
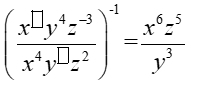
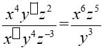
Example 2:
Working with a quotient raised to a power.
Simplify:

|