Practice Page
Directions: Solve the following problems dealing with radical equations. Show your work algebraically. Remember that you can use your graphing calculator to check your answers.

1.
radex1

 

2.
re2

 

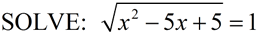
3.
re3

 

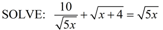
4.
fivex

 

5.
re5


6.
Find the solution set of the equation crmc1.
radguy

Choose:
 
{0}
{2}
 
{-2}
{2, -2}


7.
Solve for x: crmc2
radguy

Choose:
 
14
12
 
22
4

 

8.
Find the solution set of the equationcrmc3.
radguy

Choose:
 
{ }
{0.3}
 
{3}
{0}

 

9.
Solve for x: crmc4
radguy

Choose:
 
{1}
{2/3}
 
{ }
{1, 2/3}

 

10.
Ifcrmc5, find the numerical value of (5 - a)2.
radguy

Choose:
 
25
16
 
9
4


 

divider

NOTE: The re-posting of materials (in part or whole) from this site to the Internet is copyright violation
and is not considered "fair use" for educators. Please read the "Terms of Use".