|
Directions: Solve the following problems dealing with radicals and/or radical equations. Show your work algebraically. Remember that you can use your graphing calculator to check your answers.
1. |
A cube measures 1½ feet on each side.
A (straight) spider web connects the bottom corner of the cube to the opposite top corner, as shown. How far will a spider have to climb along this web?
|
 |
|
2. |
The speed traveled by a tidal wave can be modeled by the equation  where S is the speed in kilometers per hour, and d is the average depth of the water in kilometers.
a) Solve the equation for d.
b) A tidal wave is traveling
at 115 kilometers per hour. What is the average depth of the water, to the nearest thousandths of a kilometer. |
|
|
3. |
The lateral surface area of a right circular cone, s, is represented by the equation , where r is the radius of the circular base and h is the height of the cone. If the lateral surface area of a large cone-shaped funnel is 364.25 square centimeters and its radius is 5.75 centimeters, find its height, to the nearest hundredth of a centimeter. |
|
|
4. |
A rectangle has a perimeter of 24 inches with a length of 4 inches and a width of
inches. Find x.
|
 |
|
5. |
A wrecking ball, when suspended from a crane, models the movement of a pendulum. The relationship between R (the rate of speed of the ball), m (the mass of the ball), L (the length of the chain), and F, (the force) is represented by of the . Determine F when L = 15, m = 60 and
R = 0.7. (Express answer to the nearest tenth.) |

|
|
6. |
The escape velocity from a planet is modeled by , where Vesc is the escape velocity, G is the gravitational constant, M is the mass of the planet, and R is the radius of the planet.
Solve the equation for the radius of the planet. |

Photo courtesy of NASA.
|
|
7. |
In the Earth's atmosphere, the chief factor affecting the speed of sound is the temperature. The speed of sound ( v), in knots, can be calculated using the formula:

where T is the temperature in Kelvin ( K).
To convert between temperature Fahrenheit ( Tf ) and Kelvin ( TK ):

To convert between knots, kts, and miles per hour, mph:
 |
|
|
Calculate the speed of sound, in miles per hour, when the temperature is 68º Fahrenheit.
(Express answer to nearest tenth.)
|
|
|
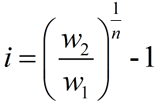
8. |
A real estate agent is determining the inflation rate of homes in her area.
Inflation rates of homes can be modeled by: 
where i is the annual inflation rate (decimal),
w1 is the home's worth before inflation,
w2 is the home's worth after inflation,
n is the number of years from w1 to w2 .
If a home sells for $80,000 in 2010 and $120,000 in 2015, what was the annual rate of inflation (to nearest tenth of a percent)?
|
|
|
9. |
The formula for determining if a sailboat qualifies to compete in the America's Cup race is:
where L is the length of the boat in meters,
S is the area of the sails in square meters, and
DSP is the volume of the water displaced by the boat in cubic meters.
A boat has a length of 22 meters and a sail area of 310 square meters. What is the minimum allowable value for the water displacement to the nearest tenth of a cubic meter?
|
|
|
10. |
The horizon (skyline) is an apparent line that separates the earth from the sky. The distance to the horizon from an observer close to the Earth's surface (ignoring atmospheric refraction) can be approximated by:

where d is the distance in kilometers and h is the height above ground level in meters.
Express answers to nearest tenth.
|
|
|
a) What is the distance to the horizon at an average eye-level height of 5 ft. 7 in. (1.7 meters)? Express answer in kilometers and in miles.
b) What is the distance to the horizon from the top of Mount Everest, 8,848 meters in altitude? Express answer in kilometers and in miles. |
|

NOTE: The re-posting of materials (in part or whole) from this site to the Internet
is copyright violation
and is not considered "fair use" for educators. Please read the "Terms of Use". |
|