Directions: The following questions pertain to cube roots or higher roots. Choose TRUE or FALSE.
TRUE means "always" true.
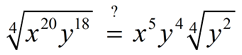
1. |
Expression: |
True or False |
a. |
|
|
b. |
|
|
c. |
|
|
d. |
|
|
|
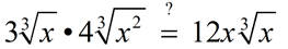
2. |
Expression: |
True or False |
a. |
|
|
b. |
|
|
c. |
|
|
d. |
|
|
|
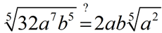
3.
|
Expression: |
True or False |
a. |
|
|
b. |
|
|
c. |
|
|
d. |
|
|
|

NOTE: The re-posting of materials (in part or whole) from this site to the Internet
is copyright violation
and is not considered "fair use" for educators. Please read the "Terms of Use". |
|