|
Directions: Solve the following questions, using the quadratic formula and the discriminant. Be sure to show your work. Use calculator only for checking.
1. |
Solve using the quadratic formula:
2x2 +5x - 3 = 0
|
|
|
|
2. |
Which number is the discriminant of a quadratic equation whose roots are real, unequal, and irrational? |
|
|
|
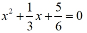
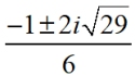
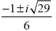
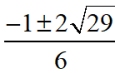
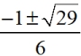
3. |
Solve using the quadratic formula:
|
|
|
|
4. |
How many real number solutions does 2x2 + 3x + 6 = 0 have? |
|
|
|
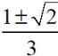
5. |
Solve using the quadratic formula:
x2 + 25 = 0 |
|
|
|
6. |
The roots of quadratic equation are real, irrational, and unequal. Which choice could be the value of the discriminant? |
|
|
|
7. |
Solve using the quadratic formula:
9x2 - 6x +1 = 0
|
|
|
|
8. |
Which equation has roots that are real, rational, and equal? |
|
|
|
9. |
Solve using the quadratic formula:
0 = -16t2 + 30t + 35
Round final answer(s) to the nearest tenth.
|
|
|
|
10. |
If the graph of a parabola, such as
y = ax2 + bx + c, does not intersect the x-axis, which choice is true? |
|
|
|

NOTE: The re-posting of materials (in part or whole) from this site to the Internet
is copyright violation
and is not considered "fair use" for educators. Please read the "Terms of Use". |
|