This method is not recommended.
There is a "short cut" method appearing on the Internet that
is referred to as the "Slide and Divide" Method, or the "Slip and Slide" Method, to factor trinomials with a leading coefficient not equal to one. This method is so named because coefficients undergo a variety of slipping, sliding, and dividing maneuvers.
The "Slide and Divide" Method of Factoring Trinomials:
There are four basic steps that are followed in this method that appear in the table below.
Factor a trinomial of the form ax2 + bx + c, a ≠ 1: |
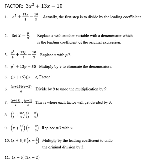
Factor: 3x2 + 13x - 10
|
1: "Slide" (or slip) the leading coefficient, a, over to the constant term, c, in the given trinomial, and multiply a • c.
Replace the constant, c, with this new a times c.
Remove the leading coefficient.
Whoa!!! This new trinomial is no longer equivalent to the original trinomial. |
x2 + 13 x - 30 |
2: Factor the new trinomial expression.
The new trinomial can be factored easily since it has a leading coefficient of 1. |
(x + 15)(x - 2)
|
3: "Divide" the constant terms of the binomials by the original value of a, the value that was "slipped" over in Step 1 (which is 3).
Another non-equivalent expression? |
|
4: Simplify the fractions where possible. "Slide"any remaining denominators so it becomes the coefficient of the variable in its respective binomial.
"Slide" the denominator? |
(x + 5)(3x - 2) Answer |
OKAY!!! This is not "math". It is just a "shuffle the cards" game.
How do you follow all of the non-equivalent expressions?
And, how about "sliding" that denominator around in the parentheses?
 |
"Slide and Divide" Method for Factoring Trinomials
This "short cut" method does not get the "Good Math Keeping" seal of approval. While this method yields correct results, the journey to get there will make no rational mathematical sense to students not versed in what is actually happening mathematically behind the scenes in this method. |
On first glance, this method could be described as a series of errors in mathematical judgement. The equivalence to the original expression is lost throughout the solution and denominators are moving around "at will" in sets of parentheses.
Unless students are well versed in the actual mathematical reasoning behind this short cut method, its use could prove to be detrimental. A first glance, this method seems to randomly make "magical" mathematical changes.
Such unjustified changes, if done by students in other situations, would be marked as errors. |
|
But, surprisingly, this process is actually mathematically legal when you look at the entire process. It just looks "hokey" when you try to explain this concept as a limited step-by-step process and by-pass what is actually happening.
The mathematical structure of the solution is lost.
Let's break this process down to see what is really going on.
Unfortunately, the justification involves "variable substitution"
which has most likely not been encountered by students in Algebra 2.
Rationale for factoring 3x2 + 13x - 10 by "Slide and Divide" Method. |

While this method is mathematically legitimate, the "short cut" steps will be extremely hard to remember, as there is no mathematical support behind the "magical" changes in the four steps.
But, it does work - apparently by magic in the "short cut".