logo
Binomial Probability
"At Most" and "At Least"
MathBitsNotebook.com

Topical Outline | Algebra 2 Outline | MathBits' Teacher Resources

Terms of Use   Contact Person: Donna Roberts
divider
When computing "at least" and "at most" probabilities, it is necessary to consider,
in addition to the given probability,
     • all probabilities larger than the given probability ("at least")
     • all probabilities smaller than the given probability ("at most")
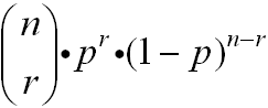
The probability of an event, p,
occurring
exactly r times:
               ff
 n
= number of trials
 r = number of specific events you wish to obtain
 p = probability that the event will occur
 q = probability that the event will not occur
(q = 1 - p, the complement of the event)
fAlternative formula form

dividerdash

Illustration:
A bag contains 6 red Bingo chips, 4 blue Bingo chips, and 7 white Bingo chips. What is the probability of drawing a red Bingo chip at least 3 out of 5 times? Round answer to the nearest hundredth.

To solve this problem, we need to find the probabilities that r could be 3 or 4 or 5,
to satisfy the condition "at least".
It will be necessary to compute f
for r = 3, r = 4 and r = 5 (which means do the formula three times)
and add these three probabilities for the final answer.
Written in summation notation, we need to compute:
d

For r = 3: d
For r = 4: f
For r = 5: s
Sum: 0.184 + 0.050 + 0.005 = 0.239
rounded to the nearest hundredth = 0.24  ANS

Note: it may be helpful to remember in this problem that
"at most 2 successes" is the compliment of "at least 3 successes".


dividerdash

In the following examples, answers will be rounded to the nearest hundredth.

ex1    A family consists of 3 children.  What is the probability that at most 2 of the children are boys? 

Solution:
"At most" 2 boys implies that there could be 0, 1, or 2 boys. The probability of a boy child (or a girl child) is 1/2.

For r = 0: d
For r = 1: f
For r = 2: s
Sum: .125 + .375 + .375 = .875
rounded to the nearest hundredth = 0.88  ANS
children3

dividerdash

ex2 Team A and Team B are playing in a league.  They will play each other five times.  If the probability that team A wins a game is 1/3, what is the probability that team A will win at least three of the five games?
Solution:
"At least" 3 wins implies 3, 4, or 5 wins.
For r = 3: a
For r = 4: d
For r = 5: f
Sum: rounded to the nearest hundredth = 0.21  ANS
soccer

dividerdash

ex3 As shown in the accompanying diagram, a circular target with a radius of 9 inches has a bull's-eye that has a radius of 3 inches.  If five arrows randomly hit the target, what is the probability that at least four hit the bull's-eye?  Express answer to the nearest thousandth.
cir
Solution:
"At least" 4 hits implies 4 or 5 hits.  The area of the bull's-eye is 9π and the area of the entire target is 81π.  The probability of hitting the desired bull's-eye is 1/9.
For r = 4: a
For r = 5: s
Sum: rounded to the nearest thousandth = 0.001  ANS

dividerdash

ti84c
For working
with
Bernoulli Trials
on your
calculator,
click here.
MathBits Calculator Pages
ti84c
For working
with At Most
At Least
on your
calculator,
click here.
MathBits Calculator Pages

 

divider


NOTE: The re-posting of materials (in part or whole) from this site to the Internet is copyright violation
and is not considered "fair use" for educators. Please read the "Terms of Use".