|
Directions: Answer these questions involving polynomials. Check each answer when finished.
1. |
The length of the rectangle at the right is
3x + 6, and the area is 6x2 + 3x - 18. What expression represents the width (?) of the rectangle?
Choose:
|
|
|
2. |
The polynomial function P(x) = -x4 + 9x3 - 23x2 +15x, on the interval from x = 0 to x = 6, represents six month profits of a new commercial web site. The equation y = 0 represents break-even. |
|
|
a) During this time period, when did the company experience break-even?
Choose:
|
|
b) During this time period, on what interval was the company in the red (losing money)? (Note: Choices are expressed in interval notation.)
Choose:
|
|
3. |
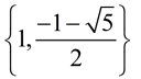
The polynomial functions f (x) = x3 + 3x2 - 3x - 1 and g(x) = x2 + 9 represent two mapped winding paths through Carlsbad Park. |
|
At what x-value(s) on the map will the two paths intersect?
Choose:
|
|
|
4. |
Rectangle ABCD is congruent to rectangle EFGH. The area of rectangle ABCD is expressed as x2 + 6x + 8 and the area of rectangle EFGH is expressed as k + (x + 3)2 - 9.
|
|
What is the value of k?
Choose:
|
 |
|
5. |
Regarding the graph shown below, which of the equations represents the graph?
|
|
Choose:
|
|
|
6. |
A designer has hollowed out a block of wood as shown. Which of the following polynomials represents the volume of the remaining (blue) figure?
Choose:
|
Rectangular solid with a rectangular solid hollowed out of the center. |
|
7. |
The graph of y = x3 - 4x2 + x + 6 is shown at the right.
Which of the following choices is the product of the roots of this equation?
Choose:
|
|
|
8. |
You are given the polynomial function
P(x) =
6x3 + kx2 - 52x + 15. You know that one of the roots is x = 1.5.
a) What is the value of k?
Choose:
b) What are the zeros of P(x)?
Choose:
|
|
|
9. |
Which of the following statements are TRUE regarding the polynomial function shown below?
(Check all that apply, and hit SUBMIT!) |
|
|
|
10. |
The diagram shown below is a right, rectangular solid with a height expressed as x - 1. The polynomial function P(x) = m2x3 - 6mx + 9 represents the volume of the solid based upon positive values of x. |
|
a) Assuming m to be a constant, find m.
Choose:
b) What roots of P(x) fall on the positive x-axis?
Choose:
|
 |
|
c) What interval(s), on the positive x-axis, cannot represent the volume of the solid?
Choose:
(Choices are expressed in interval notation to nearest hundredths.)
d) If the domain of P( x) is given to be 1 < x < 20, find the maximum volume of the solid on this domain, in cubic units.
Choose:
|
|

NOTE: The re-posting of materials (in part or whole) from this site to the Internet
is copyright violation
and is not considered "fair use" for educators. Please read the "Terms of Use". |
|