|
Directions: Solve these polynomial equations for the indicated variable.
1. |
Solve: -8b3 - 18b2 - 4b = 0
|
|
|
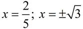
2. |
a) How many unique solutions will the equation
9a4 + 36a2 = 18a3 possess?
b) Find the solutions.
Choose:
|
|
|
3. |
Solve: x4 - 85x2 + 324 = 0
|
|
|
4. |
Find all of the zeros of the polynomial function P(x):
P(x) = x5 - 6x3 + 5x
|
|
|
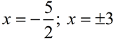
5. |
Solve: m3 + 2m2 - 16m - 32 = 0
Choose:
|
|
|
6. |
Solve: x4 + 3x3 - 27x = 81
|
|
|
7. |
Solve: a4 - 16 + (a2 - 4)2 = 0
|
|
|
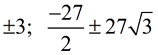
8. |
Given: (a + b)(a2 + 2ab + b2) = 125 What is the value of (a + b)?
|
|
|
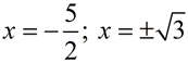
9. |
Solve: 2x3 + 5x2 - 6x - 15 = 0
|
|
|
10. |
Solve: a3 + 3a2 - 4a = 12
|
|
|

NOTE: The re-posting of materials (in part or whole) from this site to the Internet
is copyright violation
and is not considered "fair use" for educators. Please read the "Terms of Use". |
|