Practice Page
Directions: Read carefully and choose the best answer(s).

1.
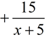
Simplify:  pdiv1
Choose:
x + 2 x - 2
x2 + 2x + 2 x2 - 2x + 2
p1boy3

 

 

2.
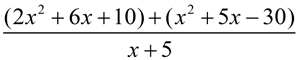
Find: polydivN
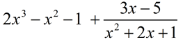
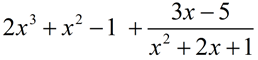
Choose:
3x - 4 2x + 1
2x + 1 polyd2 3x + 26 polydr1
p1girl5

 

 

3.
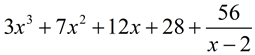
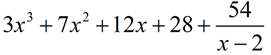
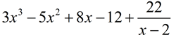
Divide   (3x4 + x3 - 2x2 + 4x - 2)  by  (x - 2)

Choose:
polydiv4a
polydiv4b
polydiv4c
polydiv4d
p1boy7a

 

 

4.
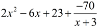
Divide:   (2x3 + 5x - 1)  ÷  (x + 3)

Choose:
2x2 + 11x + 32
2x2 - x + 2
polydiv3c
polydiv3d
p1girl4

 

 

5.
Find the remainder when:
(4x3 + 3x2 + x + 2) ÷ (x - 1)

Choose:
0
2
-10
10
p1boy1

 

 

6.
Which of the following binomials is NOT a factor of x3 + 2x2 - 5x - 6?

Choose:
(x + 1)
(x - 2)
(x - 3)
(x + 3)
p1girl2

 

 

7.
Given P(x) = 5x4 + 6x2 - 2x + 3
a)
Find P(-2). 

Choose:
103
111
-9
63

b)
Find the remainder when P(x) is divided by (x + 2).

Choose:
63
103
109
111
p1boy6

 

 

8.
Given:  P(x) = -4x3 + 5x2 - 3x +10.
Which of the following statements is (are) shown by the synthetic division for this problem, shown below? (Check all that apply!)
 polyd8v8 
 
(x - 2) is a factor of P(x).

(x + 2) is a factor of P(x).

P(x) has a remainder of 68 when divided by
(x + 2).


P(x) has a remainder of 68 when divided by
(x - 2).


(x- 2) is not a factor of P(x).

(x + 2) is a not factor of P(x).

P(x) is a perfect cube.

        
p1girl7a

 

 

9.
Given P(x) = 2x3 + 3x2 + kx - 6.
Find k if (x + 3) is a factor of P(x).   

Choose:
k = 25 k = -25
k = -11 k = 8
p1boy2

 

 

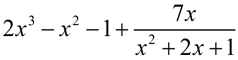
10.
Divide:  (2x5 + 3x4 - 2x2 + 5x - 1) by (x2 + 2x + 1)   

Choose:
pd10a
pd10b
pd10c
polydivNN
p1girl6

 

divider

NOTE: The re-posting of materials (in part or whole) from this site to the Internet is copyright violation
and is not considered "fair use" for educators. Please read the "Terms of Use".
m