Practice Page
Directions: Read carefully. Choose the best answers.

1.
Which of the following functions is even?

doghead
 
Choose:
 
f (x) = x2 + x
f (x) = x3 + x2
 
f (x) = x4 + x2
f (x) = (x + 1)2

 

 

2.
Regarding the graph at the right, the parabola is:

parabola
Choose:
 
even since it is symmetric.
 
odd since it is symmetric.
 
not a function since if fails the horizontal line test.
 
neither odd nor even.
 

 

 

3.
Is the parent absolute value function,
f (x) = | x |, odd, even, or neither?
smilehead
 

Choose:
 
odd
even
neither

 

 

4.
If f (x) = x3 + x, which of the following statements must be true?
(Check all that apply, and hit SUBMIT!)

f (x) is odd

f (x) is even

f (x) is neither

f (x) = f (-x)

f (-x) =- f (x)

f (x) is symmetric about y-axis

f (x) is symmetric about origin

      

shakespeare

 

 

5.
Given the functions shown below, determine which of the functions are odd, even or neither. Show your algebraic work to confirm your answers.
1) f (x) = 4x3 - 9 2) f (x) = x2 + 4x + 4
3) f (x) = x5 + 4x3 - 2x 4) f (x) = | x | + 2
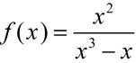
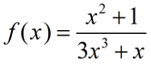
5) choice5 6) choice6
 

 

 

6.
Which of the following functions is odd?
Choose:
 
odd1
odd2
 
odd3
odd4
 

 

 

7.
The graph shown at the right is a portion of an even function on the interval [-4,4].

Complete the graph on the given interval.

oegraph1

 

 

8.
Sketch the graph of an odd function that has the following properties. There is more than one correct answer.

Domain is [-5,5]
Range is [-2,2]
Increasing on the interval (-3,3)
Decreasing on intervals (-5,-3) and (3,5)

thinkguy  

 

 

9.
The graph shown at the right is a portion of a function on the interval [-4,4].

a) Complete the graph on the given interval assuming the graph to be even.

b) Complete the graph on the given interval assuming the graph to be odd.
oegraph2

 

 

10.

Show that the product of two even functions is an even function.

prooftools

 

divider

NOTE: The re-posting of materials (in part or whole) from this site to the Internet is copyright violation
and is not considered "fair use" for educators. Please read the "Terms of Use".