small logo
Practice with Composition of Functions
MathBitsNotebook.com

Topical Outline | Algebra 2 Outline | MathBits' Teacher Resources

Terms of Use    Contact Person: Donna Roberts
divider
Practice Page
Directions: Read carefully. Choose the best answers.

1.
Given f (x) = x - 1 and g(x) = 5x+ 2, find:
 
a) f (g(2))
Choose:
 
5
 
7
 
11
 
12
b) g(f (-1))
Choose:
 
-10
 
-9
 
-8
 
2
c) f (f (5))
Choose:
 
5
 
4
 
3
 
26
d) f (g(x))
Choose:
 
5x + 3
 
5x - 1
 
5x - 3
 
5x + 1

 

 

2.
Using f (x) = x2 and g(x) = x + 2,
a) find (f
o g)(x) and (g o f)(x), in that order.
 
Choose:
 
x2 + 2 and x2 + 2
x2 + 4 and x2 + 2
 
(x + 2)2 and x2 + 4
(x + 2)2 and x2 + 2
 
b) What does part a illustrate about composition?
 
Choose:
 
Compositions are associative.
 
Compositions are commutative.
 
Compositions are not associative.
 
Compositions are not commutative.
 

 

 

3.
Functions f (x) and g(x) are defined as shown in the tables at the right. Use the tables to:
a) determine the following functions, in the order listed:
(f o g)(2); (g o f)(3); (f o f)(4);
x
1
2
3
4
f (x)
5
3
2
1
 
x
1
2
3
4
g(x)
3
1
4
5
Choose:
 
4; 1; 5
5; 1; 5
 
4; 1; 3
5; 1; 3



b)
Which of the following compositions is the only possible option?
 
Choose:
 
(f o g)(4)
(f o f)(1)
 
(g o f)(4)
(g o f)(1)
 

 

 

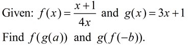
4.
fog3

socrates



5.
fog5

holdhead

 

 

6.
afgraph1afgraph2
The graphs shown above appear on the interval [-6,6] with line segments connecting designated points where x and y are integers. Using these graphs, find the values of the following four expressions in the order they are listed:
(f o g)(2);     (f o g)(-4);     (f o g)(4);     (g o f)(0)
 
Choose:
 
-2; 1; -1.5; 4
4; -2; -12; -25
 
-2; 3; -1.5; 2
-3.5; 1; 2; 2

 

 

7.
fog7a

domainpic1

 

 

8.
Given f (x) = x2,   g(x) = 2x  and   h(x) = x - 2.
a) find ((f
o g) o h)(x) and (f o (g o h))(x), in that order.
 
Choose:
 
4(x - 2)2 and (2x - 4)2
4x2 -16x + 16 and 4x2 + 16
 
2(2x - 4)2 and (2x - 4)2
4x2 +16 and 4x2 + 16
 
b) What does part a illustrate about composition?
 
Choose:
 
Compositions are associative.
 
Compositions are commutative.
 
Compositions are not associative.
 
Compositions are not commutative.
 

 

 

9.
Which of the following statements is ALWAYS true?
Choose:
 
f (g(x)) = g(f (x))
f (f (x)) = (f (x))2
 
f (g(x)) =f (x)•g(x)
f (g(x)) = (f o g)(x)

 

 

10.
Note: The notation [x] means the greatest integer not exceeding the value of x.
fog1
Find:
a) (f o g)(-4.2); 
b) (f o g)(x); 
c) (f o h)(x); 
d) (h o f)(x); 
e) (f o g o h)(x); 
f) Are the answers for parts c and d the same? Explain.

 

 

 

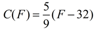
11.
The formula K(C) = C + 273 converts Celsius temperature to Kelvin.
The formulacentconverts Fahrenheit temperature to Celsius.

a. Write a composite function that will convert Fahrenheit
temperature to Kelvin.

b. Convert the boiling point of water (212º F) to Kelvin.

c. Convert the freezing point of water (32º F) to Kelvin. 

 

 


12.
A math test has a bonus question.  The directions simply state that if you answer the question correctly you will receive 5 bonus points and your test grade will be increased by 7% of your score.

Let x = test score before answering the bonus question. 

a. Write a function, f (x), to represent just the 5 bonus points.
b.  Write a function, g(x), to represent just the percent of increase.
c.  Explain the meaning of f (g(x)).
d.  Find f (g(75)).
e.  Explain the meaning of g(f (x)).
f.  Find g(f (75)).
g.  Does f (g(x)) = g(f (x)) in this problem? 

 


divider

NOTE: The re-posting of materials (in part or whole) from this site to the Internet is copyright violation
and is not considered "fair use" for educators. Please read the "Terms of Use".