|
A logarithm is an exponent.
In the example shown at the right, 3 is the exponent to which the
base 2 must be raised to create the answer of 8, or 23 = 8.
In this example, 8 is called the antilogarithm base 2 of 3. |
|
Try to remember the "spiral" relationship between the values as shown at the right. Follow the arrows starting with base 2 to get the equivalent exponential form, 23 = 8. |
|
 A logarithm base b of a positive number x is such that:
for b > 0, b≠ 1, logb x = y if and only if by = x.
The log bx is read "log base b of x".
The logarithm y is the exponent to which b must be raised to get x. |
Logarithms with base 10 are called common logarithms. When the base is not indicated, base 10 is implied.
|
Logarithms with base e are called
natural logarithms. Natural logarithms
are
denoted by ln.
 |

|
Logarithms with base 10 are called common logarithms and are written without the 10 showing.
The log key will calculate common
(base 10) logarithms. |
 |
Logarithms with the base e are called natural logarithms and are written using the notation ln( x).
The ln key will calculate natural
(base e) logarithms. |
 |
|
For " other bases" use the change of base formula:

is entered as
|
|
Origins of Change of Base Formula:
|
Set = x. |
|
Convert to exponential form. |
|
Take common log of both sides. |
|
User power rule. |
|
Divide by log b. |
Change of Base Formula: |
|
|
The logBASE( operation template can also be used.
To load the template go to
MATH → arrow down to A: logBASE(.
For more options, see link below:
|
For more help with logarithms on your calculator, click here.
|
|
|

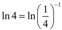
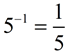
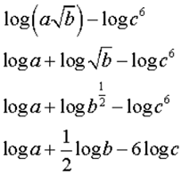
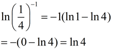
Examples:

NOTE: The re-posting of materials (in part or whole) from this site to the Internet
is copyright violation
and is not considered "fair use" for educators. Please read the "Terms of Use". |
|
|