|
Directions: On this page, all variables will be considered positive (not zero). Choose the best answers.
1. |
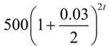
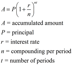
Angela's investment of $500 earns 3% interest compounded semiannually. Using the formula shown at the right, the expression  can be used to find the account balance after t years.
Which of the following expresses the annual interest rate? |
|
|
|
2. |
Carlos inherits $10,000 from his Uncle's estate. He decides to invest the money in a portfolio of stocks and bonds. The portfolio earns an annual 6% interest compounded continuously. Carlos decides to leave the money in the portfolio for 10 years. |
 |
a) Find the amount accumulated at the end of the 10 years. Round answer to the nearest penny.
Choose:
|
b) Carlos' sister also inherited $10,000. If she invests in the same portfolio, how long will it take for her investment to triple? Express answer to the nearest year.
Choose:
|
|
3. |
College freshman Madison is saving money for a spring break vacation to Florida when she is a senior. She invests $300 at a bank that offers 5% interest compounded annually. She hopes to double her money by the time she is a senior.
(Hint: This will be a three year investment as she needs the money during her senior year.) |
Party Animal Money |
a) What is the growth factor for this investment?
Choose:
|
b) Write an equation to model the growth of the investment.
Choose:
|
c) How many years will it take for the initial investment to double?
Round to nearest tenth of a year.
Choose:
|
|
4. |
James invests all of his 16th birthday monies, totaling $500, with a bank that will pay him 4% compounded quarterly on the funds. If he deposits the entire $500 and does not deposit or withdraw any other funds, how long will it take him to triple his money in this account?
Choose:
|

|
|
5. |
A bank computes monthly mortgage payments according to the formula shown at the right.
The McCormack family plans to borrow $120,000 to buy a new home, with an annual interest rate of 4.8%. Find the fewest number of whole years the family will need to mortgage so their monthly payment does not exceed $720.
Choose:
|
|
|
6. |
Kyle bought a new car at a cost of $25,000, in his favorite color of yellow. The car depreciates approximately 15% of its value each year. |
|
|
a) What is the decay factor for the value of this car?
Choose:
|
|
b) Write an equation to model the decay value of this car.
Choose:
|
|
c) What will the car be worth in 10 years?
Choose:
|
|
7. |
Jose invests $500 at an interest rate of 10% compounded quarterly for 5 years. Maria invests $500 at an interest rate of 10% compounded continuously for 5 years. The monies will be untouched for the 5 year period.
|
|
a) Who ends up the winner with more money at the end of the 5 years?
Choose:
|
b) By how much money did the winner's total exceed the loser's total?
|
|
8. |
Given an investment modeled by: 
Which statements are TRUE?
(Check all that apply, and hit SUBMIT!) |
|
|
|
9. |
At the end of 4 years, Joann's investment has a balance of $2,707.39. The interest rate was compounded monthly at 2.5%. What was the original amount invested by Joann 4 years ago?
Choose:
|
|
|
10. |
Consider the following: An investment of $15.00 is made into an account paying 11.5% interest compounded continuously for 100 years. If no outside changes are made to the account, what will be the balance in the account at the end of the 100 years?
Choose:
|
|
|

NOTE: The re-posting of materials (in part or whole) from this site to the Internet
is copyright violation
and is not considered "fair use" for educators. Please read the "Terms of Use". |
|