An exponential expression is one which contains an exponent. |
When working with exponential expressions, you will need to remember the rules that pertain to dealing with exponents. Algebra 2 will expect you to use these rules (forward and backward) in a variety of situations. Primarily, you will need to remember the following rules:
Product Rule:
 |
Quotient Rule:
 |
Power to Power Rule:
 |
Product to Power Rule:
 |
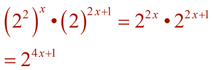
Simplifying Exponential Expressions: |
|
|
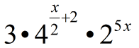
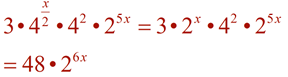
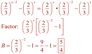
Simplify the following expressions into the form a•bx.
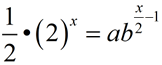
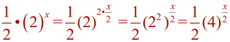
Re-writing Exponential Expressions: |
|
|
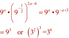
You may be asked to re-write an exponential expression in a simpler form, as seen above, to make it more easily readable. Or you may be asked to re-write the expression into a more obscure form to reveal pertinent information about a concept or about the expression itself.