Directions: Grab paper, pencil and calculator. If rounding is necessary, round to 3 decimal places.
1. |
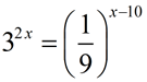
Solve for x:

|
|
|
2. |
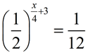
Solve for x:

|
|
|
3. |
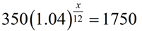
Solve for x:

|
|
|
4. |
Solve the equation:
4-x+2 = 19
|
|
|
5. |
Solve the equation:
e2x+3 = 40
|
|
|
6. |
Solve the equation:
8(2)x - 5 = 36
|
|
|
7. |
Solve the equation:
12e0.34t = 50
|
|
|
8. |
Solve the equation:
120e0.03x = 260
|
|
|
9. |
Solve the equation:

|
|
|
10. |
Solve the equation:

|
|
|

NOTE: The re-posting of materials (in part or whole) from this site to the Internet
is copyright violation
and is not considered "fair use" for educators. Please read the "Terms of Use". |
|