Dividing complex numbers is not what you might think it to be.
The goal of the division is to obtain one complex number of the form a + bi where a and b are real numbers. Thus, the solution (the quotient) will not have an "i" in a denominator.
The process of division for complex numbers is more a process of
"rationalizing the denominator" so it does not contain any values of "i "
(since "i " is actually a square root, ). This "rationalization" is
accomplished by using the conjugate of the denominator of the fraction.
This process is similar to the process for dividing radicals.
When dividing two complex numbers, 1. write the problem in fractional form, 2. remove the i from the denominator by multiplying the numerator and denominator by the complex conjugate of the denominator.
We have seen that a complex number times its conjugate will yield a real number. This process removes the i from the denominator.
Always check to see if you are expected to express your final answer in a + bi form. For the problem above, are all correct and acceptable answers. But if asked to express the answer in simplest a + bi form, only the last answer will be accepted.
Division Rule:
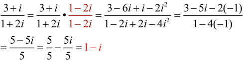
Simplify: (3 + i) รท (1 + 2i)
Simplify:
Simplify:
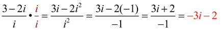
In this problem, simply multiplying by "i " will create a (-1) denominator, eliminating the i denominator.
Simplify:
For
calculator help with
complex
numbers. click here.
For calculator help with
complex
numbers click here.
NOTE: There-posting of materials(in part or whole) from this site to the Internet
is copyright violation
and is not considered "fair use" for educators. Please read the "Terms of Use".